Research Article | OPEN ACCESS DOI: 10.23937/2572-3987.1510027

Effect of Various Activation of the Skin TRPA1 Ion Channel on Cardiovascular Systemic Parameters in Hypertensive Rats

TV Kozyreva1,2* and ES Meyta1

1Institute of Neuroscience and Medicine, Russia

2Novosibirsk State University, Russia

Abstract

The effect of different activation of the skin TRPA1 ion channel on the parameters of the cardiovascular system was studied in rats with hereditary stress-induced hypertension while recovery from anesthesia. The activation of the TRPA1 ion channel was performed by application to skin its agonist - allyl isothiocyanate (AITC) in two concentrations 2.5% and 0.5%. The following parameters were measured that characterize the work of the cardiovascular system: Blood pressure (systolic, diastolic, and mean), heart rate, blood flow, and tail blood volume. Stimulation of the TRPA1 ion channel by 2.5% AITC resulted in a diminishing rate of increase in blood pressure and a sharp increase in heart rate while recovering from anesthesia. The mean rate of the arterial pressure rise during recovery from anesthesia was 0.4 ± 0.16 mmHg/min compared to 1.4 ± 0.19 mmHg/min in control (solvent application), P < 0.01. The heart rate increase was 4.7 ± 0.28 beats/min2 compared to 0.6 ± 0.39 beats/min2 in control (P < 0.001). Parameters of blood flow and the tail blood volume were not significantly changed at 2.5% AITC compared to control. The effect of 0.5% AITC on cardiovascular parameters was another. There was no influence on the recovery of arterial pressure and the heart rate, but there was a pronounced acceleration in the recovery of blood flow and tail blood volume after anesthesia. The mean rate for blood flow recovery at 0.5% AITC application was 0.3 ± 0.07 ml/min2 against 0.1 ± 0.05 ml/min2 in control (P < 0.03) and for the tail blood volume was 1.2 ± 0.33 μl/min against 0.4 ± 0.14 μl/min in control (P < 0.02). Thus, the influence of the skin TRPA1 ion channel on the parameters of the cardiovascular system depends on the degree of its activation. A low level of the TRPA1 stimulation enhanced the blood flow, while a higher level of the TRPA1 activation discouraged to increase in arterial pressure and significantly increased the heart rate. The results suggest the possibility of the therapeutic use of TRPA1 ion channel activation.

Keywords

TRPA1 ion channel, Cardiovascular system, Allyl isothiocyanate

Introduction

TRP channels influence numerous important biological processes by controlling the flux of cations across the plasma membrane. Alteration in functions of the TRP ion channels can be linked to a number of disorders. The ankyrin (A) transient receptor potential channel TRPA1 is one of the TRP cation channels, distributed throughout the body. Cation permeability has substantial biological significance. Among the channels that conduct currents with a significant (> 20%), Ca2+ fraction under physiological conditions is TRPA1 [1]. TRPA1 channels have preferential permeability to calcium, PCa/PNa ∼7.9 [2]. Ca2+ influx through TRP channels with significant selectivity for Ca2+ could theoretically directly influence the processes in nerves and blood vessels, but there is little experimental evidence in support of this possibility especially in a whole organism.

It is well known that TRPA1 is localized on the skin sensory nerves presumably perceiving a sufficiently strong cold, participating in mechanisms of neurogenic inflammation and pain [3-8] TRPA1 participates also in the formation of a thermoregulatory response to cooling [9]. It is known that the cardiovascular system is actively involved in the body's response to both cooling and pain. In literature, there are data on the TRPA1 influence on the contractile properties of the wall of blood vessel obtained on the preparations of blood vessels [1]. How the activation of the skin TRPA1 ion channel affects the parameters of the cardiovascular system of the whole organism is not known.

In the cardiovascular system, TRPA1 channel is present in smooth muscle cells and endothelial cells constituting the vascular wall, and are also expressed in perivascular neurons [1,10-14].

The primary manifestation of hypertension in the vasculature is an increase in peripheral resistance resulting from enhanced vascular contractility and TRP channels may contribute to the pathophysiological processes associated with elevated blood pressure. There is information that intracellular calcium becomes redistributed in hypertensive rats with an increase in the content of its most rapidly metabolized portion [15]. Some data indicate that TRPA1 expression in dorsal root ganglion sensory neurons was upregulated during hypertension (163% of baseline expression [16].

The objective of this study was to find out how the different levels of activation of the localized in the skin TRPA1 ion channel by its agonist - allyl isothiocyanate (AITC) affects the parameters of the cardiovascular system in a whole organism of rats with the hereditary stress-induced hypertension.

Methods

Animals

In the experiment's male hypertensive rats of the HSIAH line (hereditary stress-induced arterial hypertension [15] were used; weighing 300-340 g. The animals were housed at ambient temperature 22-24 °C, natural dark-light cycle with free access to water and food (special food for laboratory animals - 'Chara', "Assortment AGRO", Russia). The experimental procedures were carried out in compliance with the Directive 2010/63/EU of the European Parliament and of the Council of 22 September 2010, its correction of 20 December 2013 (2014/63/EU) and approved by the ethic committee of the Institute of Physiology and Basic Medicine.

AITC application

In thermoneutral conditions, allyl isothiocyanate - AITC (Sigma), the TRPA1 agonist, was applied to the skin, where a lot of sensory fibers which express TRP ion channels including the TRPA1 ion channel are distributed [17,18]. A 0.5% or 2.5% mixture of AITC in distilled water was applied for 20 min to the area of the abdomen (25 cm2). For this purpose, 1 ml of the mixture was evenly spread over filter paper of the corresponding size and applied to the skin. The temperature of the applied mixture was about 37 °C. In the control group, the solvent (distilled water) was applied. The application of substances was done in anesthetized animals (Nembutal 50 mg/kg). Anesthesia was used since it took a certain time during which animals should be immobile without emotional stress. During the application of substances, the anesthetized animal was on a panel controlling temperature so that the tail skin temperature was 33.1 ± 0.21 °C, and the rectal temperature -38.5 ± 0.20 °C.

The parameters of the cardiovascular system

were measured in animals while being awake (before anesthesia), under anesthesia, and when recovering from anesthesia. The course of the experiment is shown in Figure 1. Parameters were measured by a non-invasive method using the Coda system ("Kent Scientific", USA) according to the order shown in Figure 1. When measuring parameters, animals were in plastic transparent cones with tails out. Two cuffs were placed on the tail. To reduce the emotional component, as well as to reduce motor activity when measuring pressure and other parameters without anesthesia, animals were preliminarily trained by being planted into transparent cones for 2 days for 15 minutes. During the experiment, the following parameters were measured that characterize the work of the cardiovascular system: blood pressure (systolic, diastolic, and mean), heart rate, blood flow, and tail blood volume.

Figure 1: The course of the experiment. View Figure 1

Statistical analysis

The data are presented as mean M ± SE. One-way ANOVA (software Statistic, 10) was used to analyze the data. The significance of the changes caused by different concentrations of AITC in comparison with control was determined by Student's t-test. A value of P < 0.05 was considered statistically significant. The number of animals in each experimental group was at least 10.

Results

Introduction to anesthesia

20 minutes after the introduction of anesthetic, a drop in blood pressure by 27% (P < 0.001) occurred in all animals (Table 1). Tail blood volume decreased under the anesthesia by 26% and an increase in heart rate was by 17% (Table 1).

Table 1: Parameters of the cardiovascular system before and under anesthesia in hypertensive rats. View Table 1

Recovery from anesthesia in control hypertensive animals at the application of distilled water

is shown in Figure 2, Figure 3, Figure 4 and Figure 5, light bars. Systolic pressure increased rapidly (the mean rate of systolic pressure rise was 1.4 ± 0.19 mmHg/min. Changes in diastolic and mean pressure were similar to those in systolic pressure. Tail blood volume increased with a mean rate of 0.4 ± 0.14 μl/min. The mean rate of the rise in blood flow was 0.1 ± 0.05 ml/min2. Heart rate increased with the rate of 0.6 ± 0.39 beats/min2.

Figure 2: Effect of AITC in concentration of 2.5% (top) and 0.5% (bottom) on the systolic arterial pressure. Significant difference between the parameters in control and at AITC application: **- P < 0.01; *- P < 0.05. View Figure 2

Figure 3: Effect of AITC in concentration of 2.5% (top) and 0.5% (bottom) on the heart rate. Significant difference between the parameters in control and at AITC application: ***- P < 0.001. View Figure 3

Figure 4: Effect of AITC in concentration of 2.5% (top) and 0.5% (bottom) on the blood flow. Significant difference between the parameters in control and at AITC application: *- P < 0.05. View Figure 4

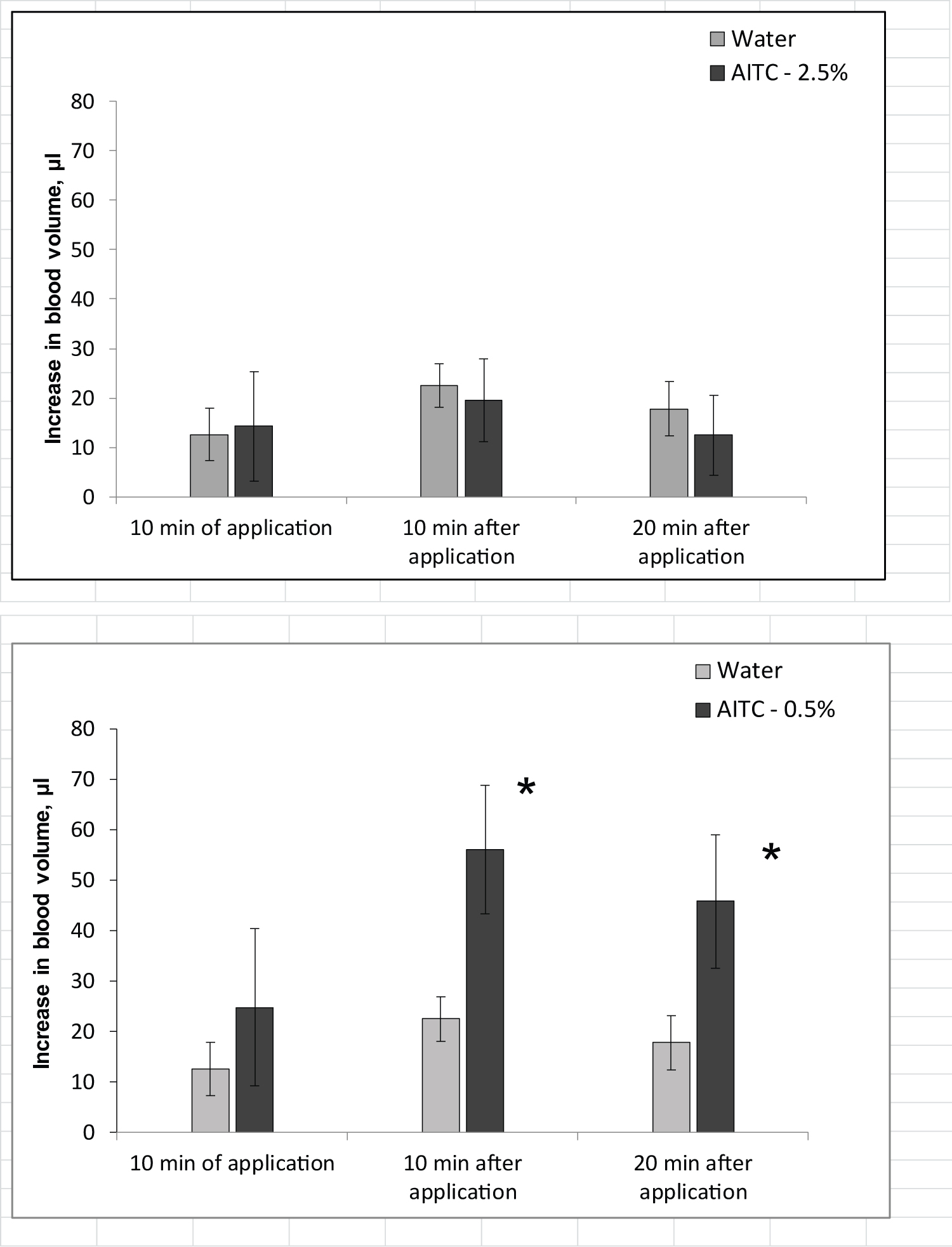
Figure 5: Effect of AITC in concentration of 2.5% (top) and 0.5% (bottom) on the tail blood volume. Significant difference between the parameters in control and at AITC application: *- P < 0.05. View Figure 5

Effect of 2.5%

AITC application on some parameters when recovering from anesthesia was observed in hypertensive animals (Figure 2, Figure 3, Figure 4 and Figure 5, dark bars, top). AITC in this concentration more than 3 times inhibited the increase in systolic pressure. It was clearly manifested 10 and 20 minutes after the application of 2.5% AITC (Figure 2 top, dark bars). The mean rate of the arterial pressure rise was 0.4 ± 0.16 mmHg/min at 2.5% AITC compared to 1.4 ± 0.19 mmHg/min at water application, P < 0.01. The diastolic and mean pressure changed under the influence of 2.5% AITC in a similar way as systolic.

Changes in heart rate were very pronounced at the application of 2.5% AITC. The mean rate of the heart rate increase was 4.7 ± 0.28 beats/min2 compared to 0.6 ± 0.39 beats/min2 at water application (P < 0.001).

An increase in blood flow and the tail blood volume (i.e. in the caudal artery) when the animals recovered from anesthesia was not significantly changed at 2.5% AITC compared to solvent application.

The effect of 0.5%

AITC application on cardiovascular parameters was different if compare to a higher 2.5% concentration. There was no influence on the recovery of arterial pressure increase (systolic, diastolic, and mean) as well as of the heart rate at the application of 0.5% AITC (Figure 2 and Figure 3 dark bars, bottom). However, there were pronounced changes in the recovery of blood flow and tail blood volume under the influence of 0.5% AITC (Figure 4 and Figure 5, dark bars, bottom). The mean rate for blood flow recovery at 0.5% AITC application was 0.3 ± 0.07 ml/min2 against 0.1 ± 0.05 ml/min2 at water application (P < 0.03) and for the tail blood volume at AITC was 1.2 ± 0.33 μl/min against 0.4 ± 0.14 μl/min at the water application (P < 0.02).

Therefore, two used concentrations of AITC provided influence but on the different parameters of the cardiovascular system - low concentration enhanced the blood flow, while a higher concentration of AITC inhibited the rise in arterial pressure and increased heart rate extremely.

Discussion

Thus, a different degree of activation of TRPA1 ion channels manifests itself differently in the changes of the cardiovascular parameters. The method of the AITC administration, application to the skin, suggests the main target of action - the skin structures, where the localization of the TRPA1 ion channel is shown, i.e. sensory nerve endings, and keratinocytes [1,2,19], as well as endothelial and muscle cells of blood vessels. The effect of AITC application is observed not only in the area of application (abdominal skin), but is generalized and manifests itself in changes in the systemic blood pressure, blood flow, and heart rate. Then it is most likely to suggest that effect can be realized through sensory endings or keratinocytes, which, when activated, can release the ATP and in such a way can have a systemic effect.

Since activation of TRPA1 is known to lead to the release of ATP [20], it is possible that with a high concentration of AITC (2.5%-25*10-5M), keratinocytes are activated, and ATP contributes to increasing a heart rate. Lower (0.5%-5*10-5M) concentration activates TRPA1 on sensory fibers, increasing blood flow and does not affect the heart rate. This may mean those different concentrations of the TRPA1 channel agonist act on TRPA1 of various localization and have consequently different physiological effects.

The effect on blood pressure is clearly manifested when using a higher concentration of AITC. The stimulation of TRPA1 by AITC in high concentrations may be also associated with the participation of the TRPA1 in the formation of the pain signal. There is no unambiguous data on the change in blood pressure at pain - a number of studies have noted a drop in pressure and increase in heart rate during pain [21], in others, there is an increase in blood pressure during pain [22]. The results of our studies with a high concentration of AITC when the significant increase in heart rate and decrease in blood pressure was observed are close to the data of Scheuren and co-authors [21]. The cutaneous nociceptors can be one of the reasons for the decrease of the arterial pressure at the high activation of the TRPA1 ion channel in the skin. At low concentration, there is any delay in the AITC effect on the blood pressure. The effect is significant only 20 minutes after the application of AITC. At this concentration of AITC, we observe also an increase in blood flow that can also result in decreased arterial pressure. Possibly, the delay is due to the necessity to develop the blood vessel response.

We would like to draw attention to the fact that our previous studies on the effect of activation of another cold-sensitive ion channel TRMP8 showed its opposite effect on blood pressure. Activation of the TRPM8 ion channel by its agonist menthol contributes to raising blood pressure [23]. Moreover, in hypertensive animals, the expression of the TRMP8 ion channel gene is reduced [24], which can be regarded as a compensatory change. Consequently, the two cold-sensitive ion channels TRMP8 and TRPA1 with respect to the parameters of the cardiovascular system manifest themselves ambiguously. These ion channels are also responsible for the different components of the thermoregulatory response - TRPM8 for the sensation and urgent phase of the metabolic response to cooling with the most use of carbohydrates as an oxidation substrate, and TRPA1 for the powerful second phase of the metabolic response with increased use lipids [9].

Therefore, two cold-sensitive ion channels localized in the skin sensory nerves have different influences on the parameters of the cardiovascular system and the influence of each of these two ion channels depends on the degree of their activation. This may provide a key to understanding individual differences in the response of the cardiovascular system of the body to the effects of temperature and pain stimulus.

Conclusion

Thus, the influence of the skin TRPA1 ion channel on the parameters of the cardiovascular system depends on the degree of its activation. Low level of the TRPA1 stimulation enhanced the blood flow, while a higher level of the TRPA1 activation discouraged to increase in arterial pressure and significantly increased the heart rate.

Conflicts of Interest

The authors declare that there is no conflict of interests regarding the publication of this manuscript.

Acknowledgement

The work was performed in the framework of Basic Research Project of the Russian Federation N° АААА-А16-116021010226-6. The authors declare no competing financial interests.

Highlights

• The skin TRPA1 ion channel influences the parameters of the cardiovascular system.

• Low level of skin TRPA1 activation enhances the blood flow.

• The high level of the TRPA1 activation has a suppressive effect on the arterial pressure.

References

  1. Earley S, Brayden JE (2015) Transient receptor potential channels in the vasculature. Physiol Rev 95: 645-690.
  2. Karashima Y, Prenen J, Talavera K, Janssens A, Voets T, et al. (2010) Agonist-induced changes in Ca2+ permeation through the nociceptor cation channel TRPA1. Biophys J 98: 773-783.
  3. Story GM, Peier AM, Reeve AJ, Eid SR, Mosbacher J, et al. (2003) ANKTM1, a TRP-like channel expressed in nociceptive neurons, is activated by cold temperatures. Cell 112: 819-829.
  4. Obata K, Katsura H, Mizushima T, Yamanaka H, Kobayashi K, et al. (2005) TRPA1 induced in sensory neurons contributes to cold hyperalgesia after inflammation and nerve injury. J Clin Invest 115: 2393-2401.
  5. Kwan KY, Allchorne AJ, Vollrath MA, Christensen AP, Zhang DS, et al. (2006) TRPA1 contributes to cold, mechanical, and chemical nociception but is not essential for hair-cell transduction. Neuron 50: 277-289.
  6. Trevisani M, Siemens J, Materazzi S, Bautista DM, Nassini R, et al. (2007) 4-Hydroxynonenal, an endogenous aldehyde, causes pain and neurogenic inflammation through activation of the irritant receptor TRPA1. Proc Natl Acad Sci USA 104: 13519-13524.
  7. Bautista DM, Pellegrino M, Tsunozaki M (2013) TRPA1: A gatekeeper for inflammation. Annu Rev Physiol 75: 181-200.
  8. Kistner K, Siklosi N, Babes A, Khalil M, Selescu T, et al. (2016) Systemic desensitization through TRPA1 channels by capsazepine and mustard oil - a novel strategy against inflammation and pain. Scientific Reports 6: 28621.
  9. Kozyreva TV, Khramova GM, Kozaruk VP (2019) Skin TRPA1 ion channel participates in thermoregulatory response to cold. Comparison with the effect of TRPM8. J Thermal Biology 84: 208-213.
  10. Earley S (2012) TRPA1 channels in the vasculature. Br J Pharmacol 167: 13-22.
  11. Bandell M, Story GM, Hwang SW, Viswanath V, Eid SR, et al. (2004) Patapoutian A Noxious cold ion channel TRPA1 is activated by pungent compounds and bradykinin. Neuron 41: 849-857.
  12. Yanaga A, Goto H, Nakagawa T, Hikiami H, Shibahara N, et al. (2006) Cinnamaldehyde induces endothelium-dependent and -independent vasorelaxant action on isolated rat aorta. Biol Pharm Bull 29: 2415-2418.
  13. Qian X, Francis M, Solodushko V, Earley S, Taylor MS, et al. (2013) Recruitment of dynamic endothelial Ca2+ signals by the TRPA1 channel activator AITC in rat cerebral arteries. Microcirculation 20: 138-148.
  14. Sullivan MN, Gonzales AL, Pires PW, Bruhl A, Leo MD, et al. (2015) Localized TRPA1 channel Ca2+ signals stimulated by reactive oxygen species promote cerebral artery dilation. Sci Signal 8: ra2.
  15. Markel AL (1992) Development of a new strain of rats with inherited stress-induced arterial hypertension. In: Sassard J, Genetic Hypertension, Colloque INSERM. John Libbey Eurotext Ltd., London, 405-407.
  16. Bodkin JV, Thakore P, Aubdool AA, Liang L, Fernandes ES, et al. (2014) Investigating the potential role of TRPA1 in locomotion and cardiovascular control during hypertension. Pharmacol Res Perspect 2:
  17. Kobayashi K, Fukuoka T, Obata K, Yamanaka H, Dai Y, et al. (2005) Distinct expression of TRPM8, TRPA1, and TRPV1 mRNAs in rat primary afferent neurons with adelta/c-fibers and co-localization with TRK receptors. J Comp Neurol 493: 596-606.
  18. Caterina MJ, Pang Z (2016) TRP channels in skin biology and pathophysiology. Pharmaceuticals (Basel) 9: E77-E87.
  19. Atoyan R, Shander D, Botchkareva NV (2009) Non-neuronal expression of transient receptor potential type A1 (TRPA1) in human skin. J Invest Dermatol 129: 2312-2315.
  20. Egbuniwe O, Grover S, Duggal AK, Mavroudis A, Yazdi M, Renton T, et al. (2014) TRPA1 and TRPV4 Activation in human Odontoblasts stimulates ATP release. J Dent Res 93: 911-917.
  21. Scheuren R, Duschek S, Schulz A, Sutterlin S, Anton F, et al. (2016) Blood pressure and the perception of illusive pain. Psychophysiology 53: 1282-1291.
  22. Davoiz L, Chalaye P, Lafrenaye S, Marchand S, Dallel R, et al. (2016) Relationship between adaptation and cardiovascular response to tonic cold and heat pain. Adaptability to tonic pain and cardiovascular responses. Eur J Pain 20: 731-741.
  23. Kozyreva TV, Kozaruk VP, Meyta ES (2019) Effect of the peripheral TRPM8 ion channel activation on the cardiovascular parameters. International Archives of Clinical Pharmacology 5: 1.
  24. Voronova IP, Tuzhikova AA, Markel AL, Kozyreva TV (2015) Inherited stress-induced hypertension is associated with altered gene expression of thermosensitive TRP ion channels in hypothalamus. Journal of Experimental and Integrative Medicine 5: 149-156.

Citation

Kozyreva TV, Meyta ES (2021) Effect of Various Activation of the Skin TRPA1 Ion Channel on Cardiovascular Systemic Parameters in Hypertensive Rats. Int Arch Clin Pharmacol 7:027. doi.org/10.23937/2572-3987.1510027